Dieser Artikel ist älter als zwei Jahre und womöglich veraltet!

Graphen mit LaTeX zeichnen

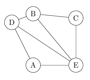
Vor kurzem musste ich zu einer Aufgabe zur Graphentheorie einen Graphen mit LaTeX zeichen.

Das ist relativ einfach mit dem Paket tikzpicture möglich:

 1\begin{tikzpicture}[scale=2]
 2	% Knoten
 3	\node (A) at (1,0) [circle,draw] {A};
 4	\node (B) at (1,1.2) [circle,draw] {B};
 5	\node (C) at (2,1.1) [circle,draw] {C};
 6	\node (D) at (0.5,1) [circle,draw] {D};
 7	\node (E) at (2,0) [circle,draw] {E};
 8	
 9	% Kanten
10	\draw[-] (B) to (D);
11	\draw[-] (A) to (D);
12	\draw[-] (E) to (D);
13	\draw[-] (E) to (B);
14	\draw[-] (E) to (A);
15	\draw[-] (E) to (C);
16	\draw[-] (C) to (B);
17\end{tikzpicture}

Das Ergebnis sieht dann so aus:

Graph